Practice thinking, daily

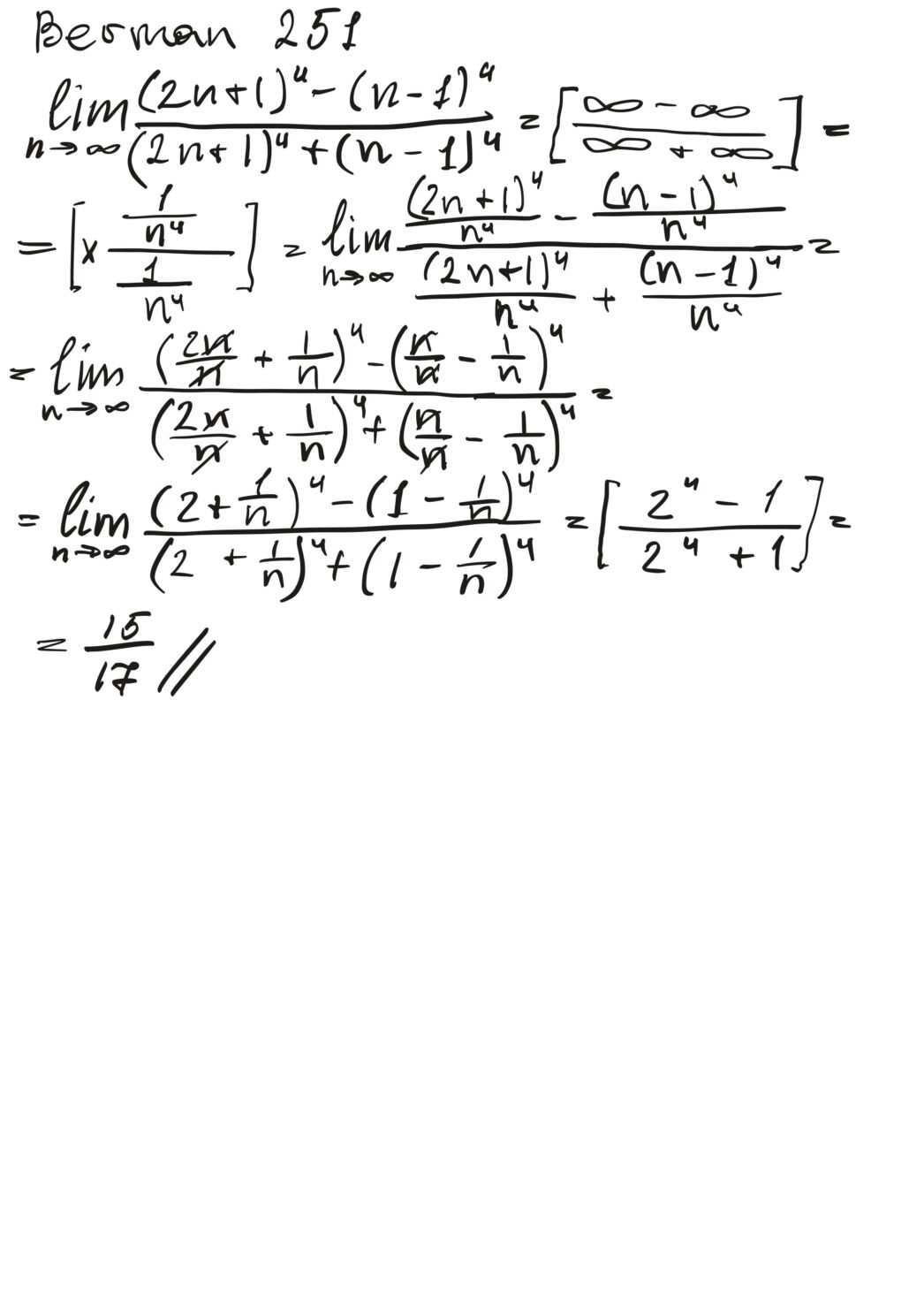
Berman #251

Berman 251 solution

Solution uploaded: December 30, 2025

Leave a Reply

Your email address will not be published. Required fields are marked *